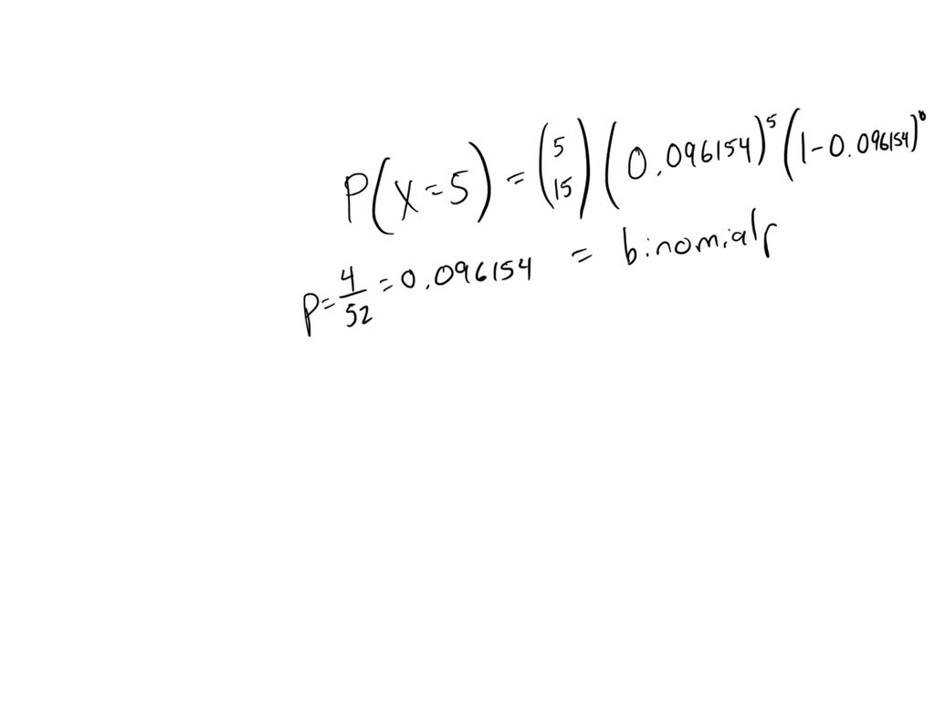
Drawing A King Probability . what is the probability of drawing a king or a spade p (a∪b)? the probability of an event is the sum of the probabilities of the outcomes in the event, hence the probability of drawing a spade. For the first card the chance of drawing a king is 4 out of 52. What is the probability that we get a queen or a king? event a is drawing a king first, and event b is drawing a king second. in this article, we will learn about card probability with all the details about the card probability chart, playing card probability, how to find the card probability, and solved examples of card probability. find the probability of picking a king or a queen from a standard deck of cards. since sampling is with replacement, the event of drawing a king and drawing an ace are independent. suppose we draw one card from a standard deck.
from www.numerade.com
event a is drawing a king first, and event b is drawing a king second. What is the probability that we get a queen or a king? since sampling is with replacement, the event of drawing a king and drawing an ace are independent. what is the probability of drawing a king or a spade p (a∪b)? find the probability of picking a king or a queen from a standard deck of cards. suppose we draw one card from a standard deck. in this article, we will learn about card probability with all the details about the card probability chart, playing card probability, how to find the card probability, and solved examples of card probability. the probability of an event is the sum of the probabilities of the outcomes in the event, hence the probability of drawing a spade. For the first card the chance of drawing a king is 4 out of 52.
SOLVED From a standard deck of 52 cards, what is the probability of
Drawing A King Probability what is the probability of drawing a king or a spade p (a∪b)? What is the probability that we get a queen or a king? find the probability of picking a king or a queen from a standard deck of cards. event a is drawing a king first, and event b is drawing a king second. suppose we draw one card from a standard deck. what is the probability of drawing a king or a spade p (a∪b)? For the first card the chance of drawing a king is 4 out of 52. the probability of an event is the sum of the probabilities of the outcomes in the event, hence the probability of drawing a spade. since sampling is with replacement, the event of drawing a king and drawing an ace are independent. in this article, we will learn about card probability with all the details about the card probability chart, playing card probability, how to find the card probability, and solved examples of card probability.
From brainly.in
help Diane ti determine the probability of the following!? a) drawing a Drawing A King Probability What is the probability that we get a queen or a king? in this article, we will learn about card probability with all the details about the card probability chart, playing card probability, how to find the card probability, and solved examples of card probability. what is the probability of drawing a king or a spade p (a∪b)?. Drawing A King Probability.
From www.numerade.com
the probability of drawing a King or a heart from a deck Drawing A King Probability What is the probability that we get a queen or a king? event a is drawing a king first, and event b is drawing a king second. since sampling is with replacement, the event of drawing a king and drawing an ace are independent. the probability of an event is the sum of the probabilities of the. Drawing A King Probability.
From www.toppr.com
The probability of drawing either an ace or a king from a pack of card Drawing A King Probability since sampling is with replacement, the event of drawing a king and drawing an ace are independent. suppose we draw one card from a standard deck. in this article, we will learn about card probability with all the details about the card probability chart, playing card probability, how to find the card probability, and solved examples of. Drawing A King Probability.
From www.numerade.com
SOLVED In the described experiment with a deck of cards, what is the Drawing A King Probability suppose we draw one card from a standard deck. in this article, we will learn about card probability with all the details about the card probability chart, playing card probability, how to find the card probability, and solved examples of card probability. since sampling is with replacement, the event of drawing a king and drawing an ace. Drawing A King Probability.
From www.slideserve.com
PPT Probability & Expected Value PowerPoint Presentation, free Drawing A King Probability event a is drawing a king first, and event b is drawing a king second. in this article, we will learn about card probability with all the details about the card probability chart, playing card probability, how to find the card probability, and solved examples of card probability. since sampling is with replacement, the event of drawing. Drawing A King Probability.
From www.slideshare.net
Probability By Ms Aarti Drawing A King Probability What is the probability that we get a queen or a king? event a is drawing a king first, and event b is drawing a king second. For the first card the chance of drawing a king is 4 out of 52. find the probability of picking a king or a queen from a standard deck of cards.. Drawing A King Probability.
From www.transtutors.com
(Get Answer) What Is The Probability Of Drawing A King And A Queen Drawing A King Probability For the first card the chance of drawing a king is 4 out of 52. what is the probability of drawing a king or a spade p (a∪b)? since sampling is with replacement, the event of drawing a king and drawing an ace are independent. in this article, we will learn about card probability with all the. Drawing A King Probability.
From www.numerade.com
SOLVED In a deck of standard playing cards, what is the probability of Drawing A King Probability the probability of an event is the sum of the probabilities of the outcomes in the event, hence the probability of drawing a spade. suppose we draw one card from a standard deck. find the probability of picking a king or a queen from a standard deck of cards. since sampling is with replacement, the event. Drawing A King Probability.
From www.chegg.com
Solved What is the probability of drawing a king and a queen Drawing A King Probability since sampling is with replacement, the event of drawing a king and drawing an ace are independent. find the probability of picking a king or a queen from a standard deck of cards. the probability of an event is the sum of the probabilities of the outcomes in the event, hence the probability of drawing a spade.. Drawing A King Probability.
From www.numerade.com
SOLVED The probability experiment for this question is drawing a card Drawing A King Probability suppose we draw one card from a standard deck. What is the probability that we get a queen or a king? For the first card the chance of drawing a king is 4 out of 52. the probability of an event is the sum of the probabilities of the outcomes in the event, hence the probability of drawing. Drawing A King Probability.
From www.youtube.com
Solution Find the probability of drawing a king or a red card in a Drawing A King Probability in this article, we will learn about card probability with all the details about the card probability chart, playing card probability, how to find the card probability, and solved examples of card probability. what is the probability of drawing a king or a spade p (a∪b)? For the first card the chance of drawing a king is 4. Drawing A King Probability.
From www.chegg.com
Solved 1. What is the probability of drawing a king, Drawing A King Probability event a is drawing a king first, and event b is drawing a king second. since sampling is with replacement, the event of drawing a king and drawing an ace are independent. in this article, we will learn about card probability with all the details about the card probability chart, playing card probability, how to find the. Drawing A King Probability.
From slideplayer.com
Math 2 Probability Lesson ppt download Drawing A King Probability in this article, we will learn about card probability with all the details about the card probability chart, playing card probability, how to find the card probability, and solved examples of card probability. For the first card the chance of drawing a king is 4 out of 52. event a is drawing a king first, and event b. Drawing A King Probability.
From www.transtutors.com
(Get Answer) What Is The Probability Of Drawing A King And A Queen Drawing A King Probability in this article, we will learn about card probability with all the details about the card probability chart, playing card probability, how to find the card probability, and solved examples of card probability. find the probability of picking a king or a queen from a standard deck of cards. event a is drawing a king first, and. Drawing A King Probability.
From www.youtube.com
Find the Probability of, A king, ace, jack of clubs or queen of Drawing A King Probability For the first card the chance of drawing a king is 4 out of 52. since sampling is with replacement, the event of drawing a king and drawing an ace are independent. event a is drawing a king first, and event b is drawing a king second. in this article, we will learn about card probability with. Drawing A King Probability.
From www.numerade.com
SOLVED What is the probability of drawing a king and a queen Drawing A King Probability the probability of an event is the sum of the probabilities of the outcomes in the event, hence the probability of drawing a spade. since sampling is with replacement, the event of drawing a king and drawing an ace are independent. For the first card the chance of drawing a king is 4 out of 52. What is. Drawing A King Probability.
From askfilo.com
9 The probability of drawing a king in a draw from a pack of 52 cards is.. Drawing A King Probability event a is drawing a king first, and event b is drawing a king second. suppose we draw one card from a standard deck. For the first card the chance of drawing a king is 4 out of 52. since sampling is with replacement, the event of drawing a king and drawing an ace are independent. . Drawing A King Probability.
From kunduz.com
[ANSWERED] D What is the probability of drawing two King 4 44 42 4 5 20 Drawing A King Probability event a is drawing a king first, and event b is drawing a king second. in this article, we will learn about card probability with all the details about the card probability chart, playing card probability, how to find the card probability, and solved examples of card probability. find the probability of picking a king or a. Drawing A King Probability.